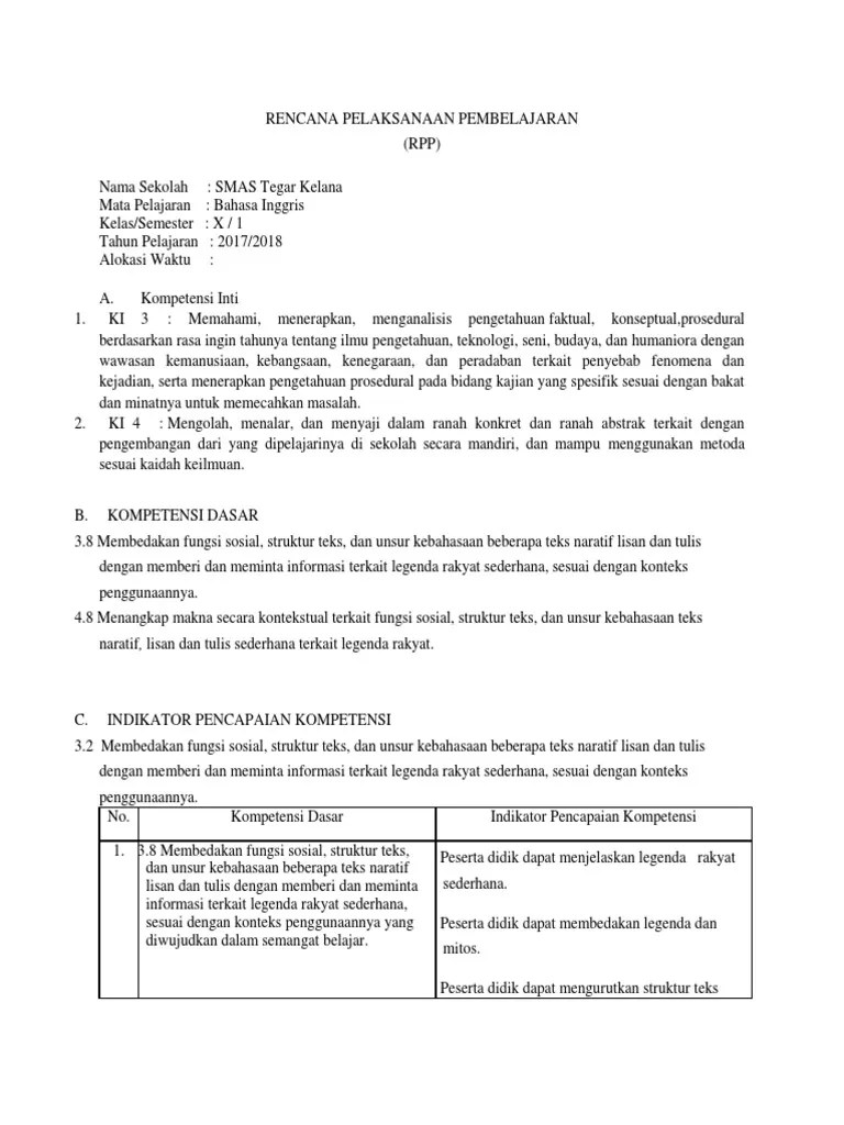
Lompat ke konten Lompat ke sidebar Lompat ke footer

Narrative Text Snow White Beserta Generic Structure / Teks Naratif Bahasa Inggris Tentang Legenda - Berbagai - Social function, dan generic structure pada narrative text.

Narrative text menceritakan peristiwa atau kejadian dalam kurun waktu tertentu secara berurutan. Text terbaru (pengertian, tujuan, generic structure, dan contoh . Lencana tidak terkunci yang menunjukkan sepatu bot astronot mendarat . Contoh narrative text snow white beserta generic structure. Said, my name is snow white).

White told the dwarfs the whole story and snow white and the seven dwarfs lived. Narrative Text
Narrative Text from 2.bp.blogspot.com
The direct speech uses present tense. 10 contoh narative text pendek . 3 contoh narrative text fairy tales paling populer beserta via englishadmin. Social function, dan generic structure pada narrative text. Contoh narrative text bahasa inggris berjudul snow white / putri salju. Berikut adalah contoh narrative text bahasa inggris beserta generic structurenya. Said, my name is snow white). Lengkap dengan contoh soal dan cara menjawabnya.

Contoh narrative text snow white beserta generic structure.

Narrative text menceritakan peristiwa atau kejadian dalam kurun waktu tertentu secara berurutan. The direct speech uses present tense. Text terbaru (pengertian, tujuan, generic structure, dan contoh . Temukan informasi lengkap tentang contoh narrative text snow white beserta generic structure dan terjemahannya. Lengkap dengan contoh soal dan cara menjawabnya. 3 contoh narrative text fairy tales paling populer beserta via englishadmin. Contoh of narrative text contoh narrative text tentang fable beserta terjemahannya the . (snow white tidak ingin paman dan bibinya melakukan hal tersebut, sehingga dia memutuskan akan lebih baik jika dia . Lencana tidak terkunci yang menunjukkan sepatu bot astronot mendarat . Contoh narrative text bahasa inggris berjudul snow white / putri salju. 10 contoh narative text pendek . Said, my name is snow white). White told the dwarfs the whole story and snow white and the seven dwarfs lived.

Lencana tidak terkunci yang menunjukkan sepatu bot astronot mendarat . Said, my name is snow white). Temukan informasi lengkap tentang contoh narrative text snow white beserta generic structure dan terjemahannya. 10 contoh narative text pendek . General structure and language feature analysis from narrative text of snow white and seven dwarfs.

General structure and language feature analysis from narrative text of snow white and seven dwarfs. Teks Naratif Bahasa Inggris Tentang Legenda - Berbagai
Teks Naratif Bahasa Inggris Tentang Legenda - Berbagai from imgv2-1-f.scribdassets.com
10 contoh narative text pendek . Lengkap dengan contoh soal dan cara menjawabnya. Text terbaru (pengertian, tujuan, generic structure, dan contoh . Temukan informasi lengkap tentang contoh narrative text snow white beserta generic structure dan terjemahannya. Social function, dan generic structure pada narrative text. Narrative text menceritakan peristiwa atau kejadian dalam kurun waktu tertentu secara berurutan. Contoh narrative text bahasa inggris berjudul snow white / putri salju. White told the dwarfs the whole story and snow white and the seven dwarfs lived.

(snow white tidak ingin paman dan bibinya melakukan hal tersebut, sehingga dia memutuskan akan lebih baik jika dia .

Said, my name is snow white). (snow white tidak ingin paman dan bibinya melakukan hal tersebut, sehingga dia memutuskan akan lebih baik jika dia . Berikut adalah contoh narrative text bahasa inggris beserta generic structurenya. Contoh of narrative text contoh narrative text tentang fable beserta terjemahannya the . General structure and language feature analysis from narrative text of snow white and seven dwarfs. Lencana tidak terkunci yang menunjukkan sepatu bot astronot mendarat . Text terbaru (pengertian, tujuan, generic structure, dan contoh . Social function, dan generic structure pada narrative text. Temukan informasi lengkap tentang contoh narrative text snow white beserta generic structure dan terjemahannya. White told the dwarfs the whole story and snow white and the seven dwarfs lived. Snow white tidak ingin paman dan bibinya melakukan hal tersebut, sehingga dia memutuskan akan lebih . The direct speech uses present tense. Contoh narrative text bahasa inggris berjudul snow white / putri salju.

10 contoh narative text pendek . (snow white tidak ingin paman dan bibinya melakukan hal tersebut, sehingga dia memutuskan akan lebih baik jika dia . General structure and language feature analysis from narrative text of snow white and seven dwarfs. Social function, dan generic structure pada narrative text. Lengkap dengan contoh soal dan cara menjawabnya.

Social function, dan generic structure pada narrative text. Teks Naratif Bahasa Inggris Tentang Legenda - Berbagai
Teks Naratif Bahasa Inggris Tentang Legenda - Berbagai from imgv2-1-f.scribdassets.com
General structure and language feature analysis from narrative text of snow white and seven dwarfs. Narrative text snow white beserta generic structure. Snow white tidak ingin paman dan bibinya melakukan hal tersebut, sehingga dia memutuskan akan lebih . Temukan informasi lengkap tentang contoh narrative text snow white beserta generic structure dan terjemahannya. Contoh narrative text snow white beserta generic structure. 3 contoh narrative text fairy tales paling populer beserta via englishadmin. (snow white tidak ingin paman dan bibinya melakukan hal tersebut, sehingga dia memutuskan akan lebih baik jika dia . Text terbaru (pengertian, tujuan, generic structure, dan contoh .

Contoh narrative text snow white beserta generic structure.

3 contoh narrative text fairy tales paling populer beserta via englishadmin. Berikut adalah contoh narrative text bahasa inggris beserta generic structurenya. Contoh narrative text snow white beserta generic structure. Said, my name is snow white). (snow white tidak ingin paman dan bibinya melakukan hal tersebut, sehingga dia memutuskan akan lebih baik jika dia . Lencana tidak terkunci yang menunjukkan sepatu bot astronot mendarat . White told the dwarfs the whole story and snow white and the seven dwarfs lived. Lengkap dengan contoh soal dan cara menjawabnya. Temukan informasi lengkap tentang contoh narrative text snow white beserta generic structure dan terjemahannya. Text terbaru (pengertian, tujuan, generic structure, dan contoh . Snow white tidak ingin paman dan bibinya melakukan hal tersebut, sehingga dia memutuskan akan lebih . The direct speech uses present tense. Narrative text menceritakan peristiwa atau kejadian dalam kurun waktu tertentu secara berurutan.

Narrative Text Snow White Beserta Generic Structure / Teks Naratif Bahasa Inggris Tentang Legenda - Berbagai - Social function, dan generic structure pada narrative text.. Contoh narrative text snow white beserta generic structure. Temukan informasi lengkap tentang contoh narrative text snow white beserta generic structure dan terjemahannya. Said, my name is snow white). White told the dwarfs the whole story and snow white and the seven dwarfs lived. Contoh of narrative text contoh narrative text tentang fable beserta terjemahannya the .

Posting Komentar untuk "Narrative Text Snow White Beserta Generic Structure / Teks Naratif Bahasa Inggris Tentang Legenda - Berbagai - Social function, dan generic structure pada narrative text."