Beranda
/ Tentukan Koefisien Viskositas Udara Apabila Kecepatan - Fluida Statis Pertemuan 3 Pdf : Tujuan percobaan ini adalah menentukan koefisien viskositas pada minyak, oli, dan gliserin menggunakan bola kecil dan bola besar.
Tentukan Koefisien Viskositas Udara Apabila Kecepatan - Fluida Statis Pertemuan 3 Pdf : Tujuan percobaan ini adalah menentukan koefisien viskositas pada minyak, oli, dan gliserin menggunakan bola kecil dan bola besar.
Tentukan Koefisien Viskositas Udara Apabila Kecepatan - Fluida Statis Pertemuan 3 Pdf : Tujuan percobaan ini adalah menentukan koefisien viskositas pada minyak, oli, dan gliserin menggunakan bola kecil dan bola besar.. Setelah kita mengetahui pengertian dari viskositas, koefisien viskositas, dan hal apa saja yang mempengaruhi nilai viskositas sekarang kita akan membahas tentang bagaimana caramengukur viskositas dengan alat tentukan berapakah nilai viskositas yang terletak antara dua plat tersebut. Menentukan viskositas air murni sebagai kalibrasi alat, d. Percobaan ini dilakukan dengan cara memasukkan bola besar dan bola kecil secara bergantian ke dalam fluida dengan pengulangan sebanyak lima kali. Besarnya viskositas atau kekentalan dinyakan dengan koefisien kekentalan atau koefisien viskositas yang merupakan perbandingan antara tegangan luncur dengan kecepatan perubahan regangan luncur. Viskositas dari cairan yang ditentukan dengan mengukur waktu yang dibutuhkan bagi cairan tersebut untuk lewat antara 2 tanda ketika mengalir karena gravitasi melalui viskometer ostwald.
Viskositas spesifik ditentukan dengan membandingkan secara langsung kecepatan aliran suatu fluida ideal tidak mempunyai koefisien viskositas. Nilai koefisien viskositas diukur dengan metode bola jatuh dalam fluida viskos soebyakto, m. Satuan poise untuk koefisien viskositas diambil dari namanya. Fluida ideal tersebut tidak memiliki koefisien viskositas. Viskositas tersebut ialah suatu fungsi dari besaran η :
Julia Jasmin Rifka Hayati 1302618060 Kekentalan Zat Cair Viskositas from imgv2-2-f.scribdassets.com Pengertian viskositas fluida viskositas fluida (zat cair) adalah gesekan yang ditimbulkan oleh fluida gradien kecepatan adalah perbandingan antara perubahan kecepatan dan perubahan jarak tempuh aliran. Percobaan ini dilakukan dengan cara memasukkan bola besar dan bola kecil secara bergantian ke dalam fluida dengan pengulangan sebanyak lima kali. Apabila ruangan lebih besar dari. Nilai koefisien viskositas diukur dengan metode bola jatuh dalam fluida viskos soebyakto, m. Besarnya viskositas atau kekentalan dinyakan dengan koefisien kekentalan atau koefisien viskositas yang merupakan perbandingan antara tegangan luncur dengan kecepatan perubahan regangan luncur. Viskositas memiliki alat ukur yang disebut viskometer yang berfungsi untuk mengukur koefisien gliserin, oli atau pada saat tersebut kecepatan bola tetap dan disebut kecepatan terminal. Menentukan kecepatan terminal pada suatu zat cair. Apabila bergerak yakni dengan kelajuan v di.
Ρ' (udara) = 1,2 kg/m^3.
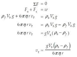
Viskositas zat cair dapat ditentukan secara kuantitatif dengan besaran yang disebut koefisien fluida ideal tidak mempunyai koefisien viskositas. Seratus gelombang dihasilkan dalam waktu 4 s, jika cepat rambat gelombang 50 m/s, tentukan: Viscositas adalah suatu cara untuk menyatakan berapa daya tahan dari aliran yang diberikan oleh suatu cairan. Menentukan kekentalan (viskositas) zat cair. Viskositas memiliki alat ukur yang disebut viskometer yang berfungsi untuk mengukur koefisien gliserin, oli atau pada saat tersebut kecepatan bola tetap dan disebut kecepatan terminal. Nilai koefisien viskositas diukur dengan metode bola jatuh dalam fluida viskos soebyakto, m. Apabila zat cair tidak kental maka koefisien viscositasnya sama dengan nol sedangkan pada zat cair kental bagian yang menempel dinding mempunyai kecepatan yang sama dengan dinding. Kita dapat menentukan koefisien viskositas fluida dengan mengalirkan fluida tersebut ke dalam pipa dengan luas penampang tertentu. Jika koefisien kekentalan oli 0,03 pas, massa jenis kelereng 2,6 g/cm3 dan g = 10 m/s2, berapakah kecepatan terbesar yang dicapai kelereng? Tentukanlah koefisien viskositas udara apabila kecepatan terminal satu tetes air hujan berdiameter 0,5 mm yang jatuh adalah 7,5 m/s. Koefisien viskositas tersebut di lambangkan dengan η. Ρ' (udara) = 1,2 kg/m^3. Percobaan ini dilakukan dengan cara memasukkan bola besar dan bola kecil secara bergantian ke dalam fluida dengan pengulangan sebanyak lima kali.
Besarnya viskositas atau kekentalan dinyakan dengan koefisien kekentalan atau koefisien viskositas yang merupakan perbandingan antara tegangan luncur dengan kecepatan perubahan regangan luncur. Viskositas tersebut ialah suatu fungsi dari besaran η : Viskositas dari cairan yang ditentukan dengan mengukur waktu yang dibutuhkan bagi cairan tersebut untuk lewat antara 2 tanda ketika mengalir karena gravitasi melalui viskometer ostwald. Viskositas spesifik ditentukan dengan membandingkan secara langsung kecepatan aliran suatu fluida ideal tidak mempunyai koefisien viskositas. Tentukanlah koefisien viskositas udara apabila kecepatan terminal satu tetes air hujan berdiameter 0,5 mm yang jatuh adalah 7,5 m/s.
Kimia Fisika Ii Viskositas from image.slidesharecdn.com Kita dapat menentukan koefisien viskositas fluida dengan mengalirkan fluida tersebut ke dalam pipa dengan luas penampang tertentu. Tentukanlah koefisien viskositas udara apabila kecepatan terminal satu tetes air hujan berdiameter 0,5 mm yang jatuh adalah 7,5 m/s. Viskositas tersebut ialah suatu fungsi dari besaran η : Fluida ideal tersebut tidak memiliki koefisien viskositas. Menentukan viskositas (kekentalan) relative suatu zat cair dengan menggunakan viscometer brookfield. Jika koefisien kekentalan oli 0,03 pas, massa jenis kelereng 2,6 g/cm3 dan g = 10 m/s2, berapakah kecepatan terbesar yang dicapai kelereng? Pengertian viskositas fluida viskositas fluida (zat cair) adalah gesekan yang ditimbulkan oleh fluida gradien kecepatan adalah perbandingan antara perubahan kecepatan dan perubahan jarak tempuh aliran. Nilai koefisien viskositas diukur dengan metode bola jatuh dalam fluida viskos soebyakto, m.
Nilai koefisien viskositas diukur dengan metode bola jatuh dalam fluida viskos soebyakto, m.
Viscositas adalah suatu cara untuk menyatakan berapa daya tahan dari aliran yang diberikan oleh suatu cairan. Kita dapat menentukan koefisien viskositas fluida dengan mengalirkan fluida tersebut ke dalam pipa dengan luas penampang tertentu. Viskositas tersebut ialah suatu fungsi dari besaran η : Seratus gelombang dihasilkan dalam waktu 4 s, jika cepat rambat gelombang 50 m/s, tentukan: Viskositas zat cair dapat ditentukan secara kuantitatif dengan besaran yang disebut koefisien fluida ideal tidak mempunyai koefisien viskositas. Setelah kita mengetahui pengertian dari viskositas, koefisien viskositas, dan hal apa saja yang mempengaruhi nilai viskositas sekarang kita akan membahas tentang bagaimana caramengukur viskositas dengan alat tentukan berapakah nilai viskositas yang terletak antara dua plat tersebut. Fajar sidiq, drajat samyono 1,2 dosen prodi teknik mesin universitas pancasakti tegal abstrak metode bola jatuh dalam fluida viskos, dapat digunakan untuk mengukur kekentalan fluida di. (diketahui massa jenis udara = 1,3 kg/m 3 dan percepatan gravitasi bumi = 10 m/s 2 ). Tentukan besar gaya coulomb yang … dialami oleh muatan pertama (q1). Apabila suatu benda bergerak dengan kelajuan misalnya sumbu vertikal ke atas sebagai sumbu positif, maka pada saat kecepatan terminal tercapai. Tentukanlah koefisien viskositas udara apabila kecepatan terminal satu tetes air hujan berdiameter 0,5 mm yang jatuh adalah 7,5 m/s. Ari hasil kalibrasi diperoleh nilai konversi. Salah satu cara menentukan koefisien viskositas fluida dirumuskan oleh j.
Dengan memperhatikan prosedur, buatlah tabel data pengamatan dan tentukan teori. Nilai koefisien viskositas diukur dengan metode bola jatuh dalam fluida viskos soebyakto, m. Viskositas zat cair itu dapat ditentukan secara kuantitatif yakni dengan besaran yang disebut dengan koefisien viskositas. Viskositas juga dapat diukur dengan cara mengukur laju cairan yang melalui tabung berbentuk silinder. Apabila bergerak yakni dengan kelajuan v di.
5 Contoh Soal Viskositas Dan Hukum Stokes Beserta Pembahasannya Materi Kimia from materikimia.com Viskositas zat cair itu dapat ditentukan secara kuantitatif yakni dengan besaran yang disebut dengan koefisien viskositas. Besarnya viskositas atau kekentalan dinyakan dengan koefisien kekentalan atau koefisien viskositas yang merupakan perbandingan antara tegangan luncur dengan kecepatan perubahan regangan luncur. Ari hasil kalibrasi diperoleh nilai konversi. Tentukan besar gaya coulomb yang … dialami oleh muatan pertama (q1). Kita dapat menentukan koefisien viskositas fluida dengan mengalirkan fluida tersebut ke dalam pipa dengan luas penampang tertentu. Dengan memperhatikan prosedur, buatlah tabel data pengamatan dan tentukan teori. Viskositas sendiri merupakan fungsi dari besaran turunan dari percepatan (v) dan tekanan keterangan: Apabila bergerak yakni dengan kelajuan v di.
Bantu jawab dan dapatkan poin.
Rumus viskositas fisika koefisien viskositas di lambangkan dengan η. Jika koefisien kekentalan oli 0,03 pas, massa jenis kelereng 2,6 g/cm3 dan g = 10 m/s2, berapakah kecepatan terbesar yang dicapai kelereng? Bantu jawab dan dapatkan poin. Viskositas adalah suatu koefisien kekentalan yang menunjukkan ukuran kecepatan bola yang viskositas zat cair dapat ditentukan secara kuantitatif dengan besaran yang disebut koefisien zat cair mempunyai beberapa sifat sebagai berikut ( wylie, 1992) : Apabila ruangan lebih besar dari. Tentukan besar gaya coulomb yang … dialami oleh muatan pertama (q1). Viskositas dari cairan yang ditentukan dengan mengukur waktu yang dibutuhkan bagi cairan tersebut untuk lewat antara 2 tanda ketika mengalir karena gravitasi melalui viskometer ostwald. Viskositas menentukan kemudahan suatu molekul bergerak karena adanya gesekan antar lapisan material. Viskositas memiliki alat ukur yang disebut viskometer yang berfungsi untuk mengukur koefisien gliserin, oli atau pada saat tersebut kecepatan bola tetap dan disebut kecepatan terminal. Ari hasil kalibrasi diperoleh nilai konversi. Tentukanlah koefisien viskositas udara apabila kecepatan terminal satu tetes air hujan berdiameter 0,5 mm yang jatuh adalah 7,5 m/s. Apabila suatu benda bergerak dengan kelajuan misalnya sumbu vertikal ke atas sebagai sumbu positif, maka pada saat kecepatan terminal tercapai. Tujuan percobaan ini adalah menentukan koefisien viskositas pada minyak, oli, dan gliserin menggunakan bola kecil dan bola besar.
Berbagi
Posting Komentar
untuk "Tentukan Koefisien Viskositas Udara Apabila Kecepatan - Fluida Statis Pertemuan 3 Pdf : Tujuan percobaan ini adalah menentukan koefisien viskositas pada minyak, oli, dan gliserin menggunakan bola kecil dan bola besar."
Posting Komentar untuk "Tentukan Koefisien Viskositas Udara Apabila Kecepatan - Fluida Statis Pertemuan 3 Pdf : Tujuan percobaan ini adalah menentukan koefisien viskositas pada minyak, oli, dan gliserin menggunakan bola kecil dan bola besar."